Les produits de la photosynthèse : Protides
1. Protides
Ce sont des molécules organiques azotés formés par C, H, O, N donc ce sont des corps quaternaires.
Ils jouent un rôle primordial dans la matière vivante tant par leur quantité que par leur importance.
On les trouve dans les graines d’haricots, blé, et dans les poissons, viande, l’œuf et le lait.
Les protides sont classés en deux grandes catégories : les protides simples ce sont les acides aminés et les protides complexes qui sont les peptides et protéines.
a. Les acides aminés
De formule :


Comme son nom l’indique, ils sont formés par une fonction acide
–COOH et une fonction amine –NH2 donc de formule générale :
Le radical R différencie les acides aminés des uns des autres.
Exemple 1: Leucine :

Exemple 2 : glycine

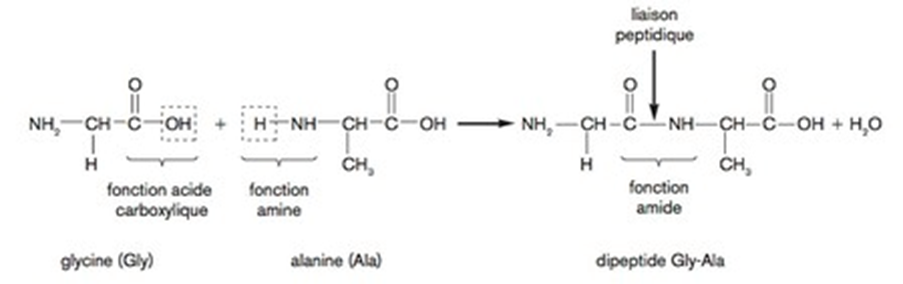
o L’union de 2 à 100 acides aminés se fait par une liaison peptidique donnant les peptides.
b. Les peptides
o Les dipeptides sont des peptides formés par l’assemblage de deux acides aminés reliés par une liaison peptidique : - CO – NH- . Cette dernière résulte de l’élimination d’une molécule d’eau entre la fonction ou groupement acide carboxylique du premier acide aminé et la fonction amine du second acide aminé.

o L’addition d’un acide aminé au dipeptide donne un tripeptide. La combinaison de plusieurs acides aminés donne le polypeptide.
Ex : d’un polypeptide : R1, R2,….., R100 (ou n = 2 à 100)

Remarque : Quand la chaine comporte plus de 100 acides aminés, on parle de protéine.
c. Les protéines
o si l’hydrolyse des protéines libèrent des acides aminés uniquement, ce sont des holoprotéines
Ex : Ovalbumine + eau >>>>>> n (acides aminés)
o si l’hydrolyse des protéines libèrent des acides aminés et une fraction non protéique dites groupement prosthétique, la protéine est une hétéroprotéine.
Ex : L’hémoglobine + eau >>>> globuline + Fer >>> n (acides aminés) + Fer
Exemple protéine :

Méthode d’évaluation : Note la plus haute