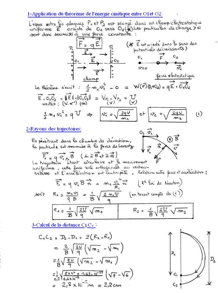
Principe du spectrographe de masse
Le rôle de l’appareil est de séparer les différents
isotopes d’un même élément. Il faut d’abord ioniser les atomes dans une chambre.
Les ions sont alors accélérés par un champ électrique puis déviés par un champ
magnétique. Cette déviation est différente suivant l’isotope, ce qui permet de
les séparer. Après séparation, les particules sont collectées. Un comptage
électronique des impacts permet d’en déduire les proportions relatives de
chaque isotope dans un échantillon donné.
Enoncé (bac C 2008 partiel):
ELECTROMAGNETISME :
On suppose que les ions se
déplacent dans le vide et que leur poids est négligeable devant les autres
forces.

A l’aide du
spectrographe de masse schématisé par la figure 1, on se propose de séparer les
ions
de même charge q et de
masses respectives m1 et m2. En O1, la vitesse
des ions est pratiquement nulle ; ils sont accélérés par la tension U=VP1-VP2
appliquée entre les plaques P1 et P2. Ils pénètrent
ensuite en O2, dans un champ magnétique uniforme B perpendiculaire au plan de la
figure.
1) Exprimer littéralement les vitesses v1
et v2 des deux ions en O2 en fonction de U, q et de leurs
masses respectives m1 et m2.
(1,00 pt)
2) Dans le champ magnétique B, on admet que les ions sont
animés d’un mouvement circulaire uniforme. Exprimer littéralement les rayons R1
et R2 de leurs trajectoires en fonction de U, q, B et de leurs
masses respectives m1 et m2.
(1,00 pt)
3) Les deux ions sont collectés en C1
et C2. Calculer la distance C1C2. (0,50 pt)
On donne : e =
1,6.10–19 C ; U
= 104 V ; B = 0,2
T ;
m1
= 6 u ; m2 = 7 u
1u = 1,67.10–27
kg.
Correction
