Passer au contenu principal
Nous appeler : +261344607631 Courriel : accesmad@accesmad.org
Fermer
Activer/désactiver la saisie de recherche
Vous êtes connecté anonymement
Connexion
Médiathèque EDUCMAD
Accueil Maths Replier Déplier
2nde nouveau pgm 2nde ancien pgm 2nde parcours élève 1ère L 1ère S 1ère S - parcours élève 1ère OSE 1ère A 1ère C - D Term L Term S Term S - parcours élève Term OSE Term A Term C - D
Sciences Physiques Replier Déplier
2nde nouveau pgm 2nde ancien pgm 2nde parcours élève 1ère L 1ère S 1ère S - parcours élève 1ère OSE 1ère A 1ère C - D Term L Term S Term S - parcours élève Term OSE Term A Term C - D
SVT Replier Déplier
2nde nouveau pgm 2nde ancien pgm 1ère L 1ère S 1ère S - parcours élève 1ère OSE 1ère A 1ère C - D Term L Term S Term S - parcours élève Term OSE Term A Term C - D
Médiathèque EDUCMAD
  • Accueil
  • Maths
    2nde nouveau pgm 2nde ancien pgm 2nde parcours élève 1ère L 1ère S 1ère S - parcours élève 1ère OSE 1ère A 1ère C - D Term L Term S Term S - parcours élève Term OSE Term A Term C - D
  • Sciences Physiques
    2nde nouveau pgm 2nde ancien pgm 2nde parcours élève 1ère L 1ère S 1ère S - parcours élève 1ère OSE 1ère A 1ère C - D Term L Term S Term S - parcours élève Term OSE Term A Term C - D
  • SVT
    2nde nouveau pgm 2nde ancien pgm 1ère L 1ère S 1ère S - parcours élève 1ère OSE 1ère A 1ère C - D Term L Term S Term S - parcours élève Term OSE Term A Term C - D
  • Plus
Tout déplier Tout replier

Blocs

Passer Abréviations :

Abréviations :

NP = nouveau programme

AP = ancien programme

PE = parcours élève

Passer Recherche globale

Recherche globale

  1. Circuit en régime sinusoïdal forcé
  2. I. Circuit (R,L,C) série en régime sinusoïdal forcé
  3. Application

Application

Conditions d’achèvement

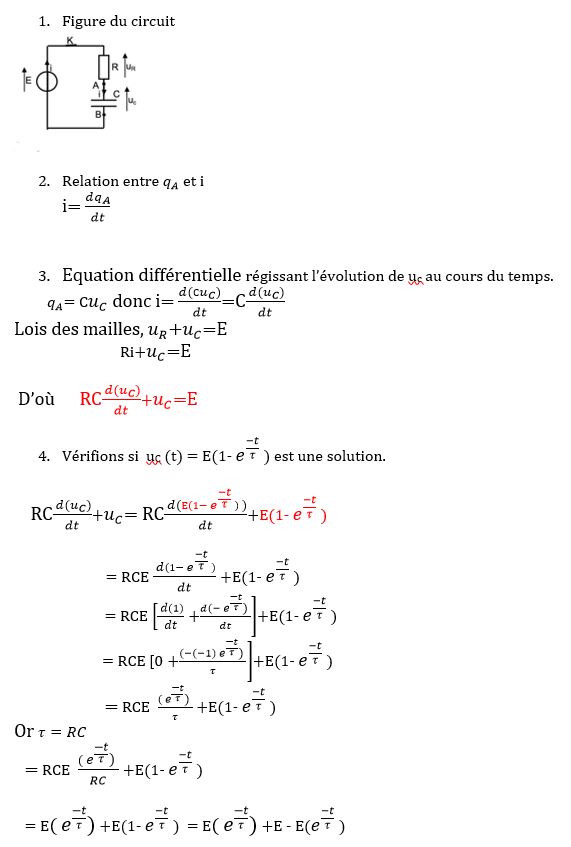
On envisage le circuit constitué d’un conducteur ohmique de résistance

R, un condensateur de capacité C initialement vide, un interrupteur K et un    générateur de tension de f.e.m E.A l’instant t=0, on ferme l’interrupteur.

1- Faire la figure du circuit

2- Rappeler la relation qui lie la charge qA de l’armature A du condensateur et l’intensité du courant i dans le circuit. Déduire la relation liant i et la tension uc aux bornes du condensateur.

3- Établir l’équation différentielle régissant l’évolution de uc au cours du temps.

4- Vérifier que uC (t) = E(1-  ) est une solution de l’équation différentielle précédente avec =RC


  • solappl1.JPG solappl1.JPG
    15 février 2024, 17:16

Copyright © Educmad Juillet 2025

Contacter l’assistance du site
Vous êtes connecté anonymement (Connexion)
Résumé de conservation de données
Obtenir l’app mobile
Fourni par Moodle