Enoncé Mathématiques série D 2010
Résumé de section
-
Nous mettons à votre disposition des sujets de Mathématiques
proposés au baccalauréat série D à Madagascar
Conditions d’achèvement
MATHEMATIQUES - SERIE D – SESSION 2010
N.B. : - Les deux exercices et le problème sont obligatoires.
- Machine à calculer scientifique non programmable autorisée.
EXERCICE 1 (4points)



EXERCICE 2 (5 points)


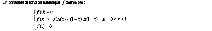
PROBLEME(10 points)




Modifié le: vendredi 8 septembre 2017, 08:22