Principe de la méthode (html)
Résumé de section
Ce document a été conçu par l’association ACCESMAD a destination des élèves de l’enseignement technique de Madagascar .Il propose une méthode pédagogique d’assimilation des contenus du texte officiel des programmes intitulé:
REPOBLIKAN’I MADAGASIKARA
Module de formation : mécanique et résistance des matériaux
|
Indexation |
UNITES DE FORMATION |
DUREE |
|
UF/05/04/01 UF/05/04/02 UF/05/04/03 UF/05/04/04 UF/05/04/05 |
Généralités et hypothèses Calculs analytiques et graphiques des réactions aux appuis Détermiunation des efforts dans les barres par la méthode de CREMONA Détermination des efforts dans les barres par la méthode de Ritter Dimensionnement des éléments d’un système triangulé |
|
|
DUREE TOTALE |
90 HEURES |
|
Sous module traité UF/05/04/04: Systèmes triangulés, Méthode de Ritter (ou des sections)
Les autres sous modules du tableau ci-dessus sont traités dans d’autres documents de cours
Connaissances requises pour lire ce document: il faut savoir,
-déterminer les composantes d’un vecteur dans un repère cartésien.
-calculer le produit vectoriel de deux vecteurs.
-utiliser les expressions scalaire et vectorielle du moment d’une force en un point.
-utiliser le principe fondamental de la statique: PFS.
-connaître les unités de force et de moment de force.
Objectifs pédagogiques du document:
Déterminer par le calcul les efforts normaux dans les barres un système triangulé.
Contrairement à la méthode graphique, on peut se limiter à la détermination des efforts dans quelques barres plus déterminantes de la structure.
Remarques préalables sur les symboles utilisés dans le texte :
- La méthode de calcul nécessite une grande rigueur dans le choix des notations et des symboles.
- L’indication F2 notée en rouge dans le texte doit être lue « vecteur force F2 »
Par contre son intensité (ou module) est notée simplement en noir F2
La notation vectorielle classique (avec flèche) est utilisée dans les formules inscrites sur fond jaune et dans les annexes manuscrites.
- La valeur numérique (ou intensité) d’une force est une grandeur positive.
Que signifie alors l’écriture du type : « F2= -1000N » ?
- Le signe « moins » indique simplement que le sens réel de la force est contraire au sens envisagé sur le schéma initial (ce dernier n’étant qu’une hypothèse).
(la force a donc une intensité de 1000N mais sons sens est contraire au sens initial).
- Les calculs de R.D.M imposent souvent de faire un choix sur le sens des forces initialement inconnu. Après calcul, le signe devant la valeur numérique indique si ce choix était le bon.
Comme nous allons le voir, la résolution de ce type de problème demande beaucoup de méthode !
1- Choisissons un exemple de structure à calculer:
Nous allons traiter l’exemple de la structure déjà résolue graphiquement par la méthode de Crémona. (voir schéma ci-dessous) Nous pourrons comparer ainsi les deux méthodes. Nous souhaitons calculer les efforts dans les barres CD, CE, BE. Les forces P verticales orientées vers le bas ont toutes une intensité égale à 1000N. Les réactions ont une intensité de 1500N.
2-Principe de la méthode :
Elle consiste à effectuer une coupure fictive de la structure treillis à étudier à travers les barres dont on veut connaître les efforts internes de traction ou de compression.
La coupure doit affecter 2 ou 3 barres (pas plus !) de la structure. Nous réalisons donc la coupure représentée sur le schéma ci-dessous.
La structure à gauche de la coupure est en équilibre sous l’action de toutes les forces extérieures y compris les forces inconnues F1, F2 et F3 appliquées par les barres sur les nœuds B et C. (Attention, les sens de ces forces indiqués sur le schéma ne sont pas forcément les sens réels .C’est le calcul qui déterminera le vrai sens).
Il suffit alors d’appliquer le PFS pour la partie gauche en choisissant bien le point par rapport auquel on calculera les moments des forces.
L’équation des moments par rapport à ce point ne doit comporter qu’une seule inconnue.

Système triangulé à étudier avec coupure
3- détermination de la force F2 dans la barre CE:
Seule sa direction est connue, il reste à déterminer son intensité F2 et son sens.
Le PFS permet d’écrire les deux relations (1) et (2):
![]()
Cette première relation ne nous sera pas très utile dans un premier temps car elle fait intervenir 3 inconnues.
Il faudra déterminer une équation de moments qui fasse intervenir uniquement F2 :
Les moments de RA, de F3 et de F1 par rapport à A sont nuls puisque les directions de ces forces passent par A.
C’est donc par rapport à ce point A qu’il faut évaluer les moments. Seules les forces F2 et P ont alors un moment non nul . L’équation de moments s’écrit-alors :
![]()
Equation a une inconnue F2.
3-a Calculons le moment en A de P :
Nous utilisons dans un premier temps la définition scalaire du moment :
|Moment de force| = intensité de la force x bras de levier =P x AB=2.1000=2000N.m
(grandeurs toutes positives)
Le signe de MA(P) est ensuite déterminé en considérant l’effet de la force sur la structure:
La force P (de direction, sens et intensité connus) tend à faire tourner la structure autour de A dans le sens horaire (sens contraire du sens trigo), le moment est donc négatif.
MA(P)= -2000N.m
3-b Moment en A de F2 :
Hypothèse : le sens de la force n’est pas connu. Cependant il faut bien faire le choix d’un sens pour résoudre le problème. Nous considérons la force F2 inclinée et orientée vers le bas comme l’indique le schéma. Ce n’est qu’une hypothèse qu’il faudra ensuite vérifier après calcul.
Deux solutions sont possibles pour calculer MA :
1ère solution : |MA|=Force F2 x bras de levier de la force.
Pour obtenir le bras de levier il faut tracer la droite (D) perpendiculaire à la direction de la force passant par le point A. Soit H le point d’intersection de (D) avec la direction de la force.
|MA|=F2.AH. La valeur de AH doit être évaluée par le calcul.(ou graphiquement éventuellement)
Le signe de MA est ici négatif puisque la force tend à faire tourner la structure autour de A dans le sens horaire (négatif).
2éme solution (que nous développons ci-dessous) :
Décomposons la force F2 en sa composante horizontale F2x et sa composante verticale F2y
Le moment de F2 est la somme (algébrique) des moments de ses 2 composantes :
Moment en A de F2=moment en A de F2x + moment en A de F2y.
Attention le signe de chaque terme dépend de l’effet de chaque composante sur la rotation autour de A
Calculons les valeurs absolues des projections de F2 sur les deux axes Ax et Ay :
(Les valeurs absolues représentent les intensités des forces projetées sans se préoccuper de leur sens )
F2x = F2.cosq et F2y = F2.sinq .
![]()
Préoccupons-nous maintenant du sens de ces forces donné sur le schéma afin d’évaluer le signe du moment
Avec l’hypothèse choisie sur le schéma F2x et F2y tendent à faire tourner la structure autour de A dans le sens inverse du sens trigo, leur moment respectif doit être négatif.
MA(F2x)=-BC. F2x =-BC.F2.cosq et MA(F2y) = -AB . F2y= -AB . F2 .sinq. (avec BC=1m et AB=2m)
Finalement :
![]()
3-c Ecrivons que le somme des moments en A est nulle (équation 2) ;
-2000 - 1.79.F2=0 d’où F2=-2000/1.79= -1100N
Si nous insérons la valeur numérique négative de F2 dans l’expression MA(F2)=-1.79.F2, le moment en A de F2 devient positif .Le signe négatif devant F2 contredit l’hypothèse sur le sens initial de la force. Le moment positif de F2 implique qu’elle tend à faire tourner la structure dans le sens trigonométrique. La force F2 exercée par la barre CE pousse sur le nœud .La barre subit donc une compression de 1100N.

La méthode que nous venons d’utiliser fait intervenir la définition scalaire du moment d’une force. Elle est commode à utiliser tant que les sens des forces est connu d’avance. Il faut attribuer le signe du moment en fonction de son effet sur la rotation de la structure autour d’un point. Elle devient vite fastidieuse même pour l’exemple que nous venons de traiter !
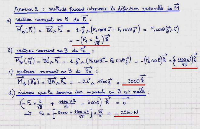
Nous avons effectué ci-dessous le même calcul en considérant la définition vectorielle du moment d’une force (voir annexe 1). Cette nouvelle méthode présente l’avantage de permettre la résolution de problèmes plus complexes sans risque d’erreur et satisfait l’utilisateur en général qui la trouve plus rigoureuse.
Seule condition préalable pour l’utiliser: bien connaître la définition mathématique du produit vectoriel et les règles de calcul le concernant. (ce qui n’est pas un handicap)
Elle suppose le repérage de la structure dans un repère cartésien Axyz soigneusement choisi pour rendre les calculs aussi simples que possible. Dans le cas traité ici, les forces et les bras de levier appartiennent au plan de la structure. Les vecteurs moment sont donc tous orthogonaux à ce plan (donc orienté suivant z ou –z).
Attention, il faut considérer les valeurs algébriques des projections des forces et tenir compte du signe des coordonnées des points pour évaluer la valeur du bras de levier de la force.
Nous reprenons le même dessin que précédemment :


4- déterminons la force F1 dans la barre CD:
On effectue d’abord le calcul en utilisant la définition scalaire des moments.
Choix du point par rapport auquel le calcul des moments est effectué: le point B
Equation des moments en B :
![]()
Les moments de P et et de F3 par rapport à B sont nuls puisque les lignes d’action de ces forces passent par B.
F2 a été calculée, RA est connue, il reste donc 1 inconnue F1 à déterminer.
Nous conservons l’hypothèse sur le sens des forces F1 et F2 comme l’indique le schéma ci-dessus.
Nous avons montré qu’avec cette hypothèse le calcul donne : F2=-1100N
4-1 Moment en B de F2 :
F2 est la somme vectorielle de F2x et de F2y
MB(F2x)=-BC x F2x =-BCxF2.cosq (- car la force F2x orientée vers la droite tend à faire tourner la structure autour de B dans le sens horaire). Finalement :

MB(F2y)=0 ( car la ligne d’action de cette force passe par B)
MB(F2)= MB(F2x)+ MB(F2y)=984N.m
4-2 Moment en B de RA:
MB(RA)=-RA x AB=-1500.2=-3000N.m (-car RA tend à faire tourner la structure dans le sens horaire)
4-3 Moment en B de F1 :
F1 est la somme vectorielle de F1x et de F1y
Or,
MB(F1x)=-BCxF1x= -BC. F1.cosq.
MB(F1y)=0 (la ligne d’action de la composante verticale de F1 passe par B)
MB(F1)= MB(F1x)+ MB(F1y)=-BC.F1.cosq.
Ce qui donne numériquement:

4-4 Reprenons l’équation des moments (2’) :
-0.894.F1-3000+984=0 soit F1=-2250N (la force F1 a donc le sens contraire du dessin)
La force F1 pousse le nœud C, par conséquent la barre CD subit une compression de 2250N.
Voir en annexe ci-dessous le calcul de F1 avec la méthode vectorielle.

5- déterminons la force F3 dans la barre BE:
Cette fois il est possible d’utiliser la relation (1) puisque la seule inconnue est F3.
![]()
la force F3 étant horizontale, projetons la relation (1) sur l’axe Ax, il vient :
F1 cosq +F2.cosq +F3=0 soit numériquement :

F3 a le sens indiqué sur le schéma, cette force exercée par la barre BE tire sur le nœud, la barre est donc tendue.

Voilà un calcul qui a nécessité une bonne dose de volonté pour aboutir ! Nous encourageons le lecteur à persévérer en réalisant d’autres exemples, seule façon de se familiariser avec les méthodes proposées.
PB mars 2013